- ET7428 1Ω Dual SPDT Negative Signal Handing Analog Switch
- ET7222 High-Speed USB 2.0(480Mbps) Switch
- ET5228H 0.6Ω Dual SPDT Negative Signal Handing Analog Switch
- ET5223 0.5Ω Dual SPDT Analog Switch
- HTR6916 共阴极16x9阵列LED 驱动器
- HTR7198(S), HTR7144(S) 带自动呼吸功能的18x
- PL62010 集成升降压控制器及双向PD3.0等多种快
- RY6050-ADJ Series 500mA Adjustable High-Speed Low Power LDO
- RY6050 Series 500mA High PSRR, Low Noise, Low Power LDO
- RY6313 40V 150mA Low Power LDO
- RY6031 300mA High PSRR, Low Noise, Low Power LDO
- RY8337C 36V 3A 500KHz Synchronous Step-Down Regulator
- RY8337B 30V 3A 500KHz Synchronous Step-Down Regulator
- RY8337 38V 3.3A 500KHz Synchronous Step-Down Regulator
DC-DC电源中前馈电容的选型分析
电源是现代电子产品必不可缺的模块,现今大多数的通用电源芯片都会提供如下图所示的反馈引脚,便于客户使用反馈电阻实现所需的输出,简化设计并节省调试时间。但是通用化也从根本上制约了转换器的带宽及瞬态响应能力。这种情况下,设计师可以通过使用前馈电容在一定程度上对此进行改善。

本次对前馈补偿进行基本介绍,以方便设计人员选择合适的前馈电容,以达到优秀的产品性能。
前馈电容的影响
常见的可调电源电路如下图所示。

可调电源电路
A(s)为电源系统的开环增益,为方便讨论我们假定A(s)里已经包含了输出电容、负载等其他因素的影响。
上述电路在不使用前馈电容CF时的输出电压为

其中,β为反馈系数。其环路增益为

可见,通过调节分压电阻虽然可以改变输出电压OUT,但同时也使得G(s)的带宽变窄。
合理地使用前馈电容可以提升电源的带宽及响应速度,此时环路增益为

由此可得,CF并不改变DC输出,而是为系统引入了一对低频零点fz和高频极点fp。零点会使相位裕量增加,极点则恶化相位裕量,使零点与极点尽量远离才能获得更多的相位裕量。但CF引入的零极点对的距离在对数坐标里是固定的,因为

据此可确定,前馈电容在R1/R2越大时作用越明显,在R1=0时不产生作用。而在R1/R2确定的场合,需要合理地选择前馈电容CF。
前馈电容的选择
为了兼顾系统的带宽和相位裕量,通过以下步骤可以得到最优化的前馈电容容值
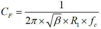
1. 在没有前馈电容的情况下测得系统的穿越频率fc;
2. 选择的前馈电容引入的零点和极点,使其满足

化简为:

案例分析

在某种运用下将SY8513配置成5V输出,使用电阻R1=105kΩ,R2=20kΩ,此时β=0.16。
使用环路分析仪,在没有前馈电容的情况下测得系统的环路增益曲线,如下所示。
SY8513没有前馈电容时的环路曲线
可见此时系统的穿越频率为fc=34.8kHz,计算得到最优的前馈电容CF=109pF,我们实际使用较为接近的110pF。
此外,在没有前馈电容时,该配置下的相位裕量仅为27º。
在没有前馈电容的配置状态,进行负载瞬变响应测试,当负载从1A跳变至3A时,输出电压最大存在340mV偏移。

SY8513没有前馈电容时的负载瞬变响应
而使用110pF前馈电容后的环路增益曲线如下所示,可以看到穿越频率变为了72.4 kHz,带宽扩大了一倍。同时,相位裕量也增加到了50º。

SY8513使用110pF前馈电容时的环路曲线
进行相同的负载瞬变响应测试,在增加前馈电容后,输出电压的最大偏移量从340mV降低为200mV,发生了明显改善。

SY8513有无前馈电容时的负载瞬变响应对比
综上所述,合理的使用前馈电容可以明显地改善电源的动态特性。
前馈电容的最优值是基于系统带宽和相位裕量的最优折中。在必要的场合,通过综合分析公众号:芯片电子之家,实际应用时转换器的带宽和裕量的要求,对最优值的适当增大或减小以进一步优化带宽或裕量。通常情况下,我们建议尽量接近最优值。
需要注意,并不是每一个 DC-DC 电路都需要前馈电容,实际设计时,按照 SPEC 参考设计来即可。