- ET7428 1Ω Dual SPDT Negative Signal Handing Analog Switch
- ET7222 High-Speed USB 2.0(480Mbps) Switch
- ET5228H 0.6Ω Dual SPDT Negative Signal Handing Analog Switch
- ET5223 0.5Ω Dual SPDT Analog Switch
- HTR6916 共阴极16x9阵列LED 驱动器
- HTR7198(S), HTR7144(S) 带自动呼吸功能的18x
- PL62010 集成升降压控制器及双向PD3.0等多种快
- RY6050-ADJ Series 500mA Adjustable High-Speed Low Power LDO
- RY6050 Series 500mA High PSRR, Low Noise, Low Power LDO
- RY6313 40V 150mA Low Power LDO
- RY6031 300mA High PSRR, Low Noise, Low Power LDO
- RY8337C 36V 3A 500KHz Synchronous Step-Down Regulator
- RY8337B 30V 3A 500KHz Synchronous Step-Down Regulator
- RY8337 38V 3.3A 500KHz Synchronous Step-Down Regulator
芯片功耗与温度的相互影响
芯片内部的每个电路都被设计成执行某个特定的功能,这些电路的功耗取决于几个因素,包括晶体管的数目和密度,转换速度有多快,以及在芯片上晶体管被放置的位置。耗散功率被转换成热,必须去除这些热,以得到具有热可靠的系统。功率密度和除热速度决定了电路的温度。温度的变化改变了器件和互连元件的特性,并且作为结果,会影响电路和系统的工作状态。
功耗是产生热量的来源,并导致整个芯片温度的升高。升高的温度也将导致功耗增加,在电路中,电流流过电阻时会有功率消耗。在超大规模集成电路中,器件和互连元素都会增大总功耗。电源电流进入总互连线,并且流经多个金属层,来为芯片衬底上的器件提供电源。作为总热量的主要贡献者,器件消耗三种类型的功耗:动态功耗、短路功耗及静态功耗:

式中,Pdynamic是逻辑单元输出转换时的动态功耗;Pshort-circuit是与短路电流相关的短路功耗,短路电流又称为射穿电流;Pstatic 是器件由于漏电流产生的静态功耗。
动态功耗
在正常运行状态下,动态功率占据总功耗的大部分,它可以表示为

式中,0≤ α≤1是节点的动态转换活动因子;C是负载电容;VDD是电源电压;f是时钟频率。很明显,电路的转换速率越大,功耗越高,所以温度也越高。此外,晶体管越大,其转换电容越大。 因此,对于功耗减少和温度管理技术,晶体管尺寸的大小很重要。上式强调了在动态功耗中电源电压的意义,具体地说,是它与电源的二次元关系。而且,时钟频率与电源有直接的关系,因此,高性能电路表现出更高的工作温度。除了设备,互连电阻的功耗也占据动态功耗的很大部分,将此称为自热耗散。

式中,Irms表示流过互连线的均方根电流;R表示互连部分的电阻。产生功耗的三个主要互连种类是:时钟、信号及电源分布网络。由于高密度和长度,信号网络的消耗在局部互连功耗中占有很大比例。时钟网络约占总互连网络的1%,约占总长度的4%。然而,由于高转换速率,时钟网络成为主要的功耗产生部分。第三个互连类别,电源/地网络,在其多层次结构上也产生功耗。这里从电源流到负载的直流电流导致了自热耗散。同时,从有效的去耦电容流入或流出的充电或放电电流也导致了额外的自热耗散。
为了更精确评估功耗,进一步将线分为局部互连和全局互连。通常插入buffer来减少长互连的延迟。
短路功耗
第二项为短路功率,当PMOS和NMOS 晶体管在逻辑单元开关电路中时,在转换期间,有一个短暂的瞬间,两个晶体管同时导通。这将在电源和地之间创建一个直接的通路。这个功耗取决于输入信号的斜率和负载电容。因此用一个公式对所有的工作状态下的功耗进行建模,是很困难的。
然而,当对输入波形和输出电容进行一些假设时,可以得到一个简单的方程式。接下来估算不带负载的反相器的短路功耗:

式中,β是晶体管增益系数;τ是输入转换时间,输入信号的斜率越小,功耗越大,并且转换时间越长。
此外,载流子迁移率和阈值电压是与温度有关的两个参数,这两个参数会影响短路电流。 功耗与短路电流有关,但是由于在高性能电路中转换速度很快,因此短路电流对功耗的影响会减小一些。
漏电流功耗
最后一项为静态功率,在一些电路中,通过设计在供电电源与地之间有一个连续的电流通路。然而在数字COMS电路中,漏电流是主要的静态功耗来源。 图展示了在NMOS晶体管中组成漏电流的三个主要部分:亚阈值漏电流IS、栅极漏电流IG以及反偏结漏电流 IR。

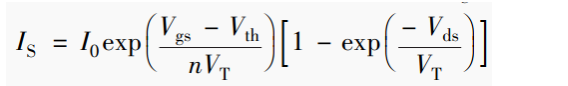
其中,IS是晶体管处于闭合状态下,从漏极到源极通道的亚阈值漏电流,此时栅源电压Vgs要小于阈值电压(Vgs < Vth)。当通道中有足够多的电子,可以在漏极和源极之间形成导电路径时的电压称为阈值电压V th。 电流IS是扩散电流,它由通道中少数载流子移动产生。 亚阈值漏电流与Vgs和Vth成指数关系:

式中,VT是热电压;Vds是漏源电压;n和I0是与器件相关的常数。随着Vth减少,电流 IS增加。同时随着通道长度与氧化层厚度增加,阈值电压会减小。
漏极和源极的耗尽区扩展到通道内时,其对电磁场和沟道内电势的影响会增大,这个叫做短通道效应(short channel effect,SCE)。当通道长度变短时,SCE将导致阈值电压的碾轧效应。因此减小器件尺寸,可以带来阈值电压的减小,随后会产生更大的亚阈值漏电流。此外, 该电流与温度具有超线性关系,如图所示,所以该电流成为电源管理中的一个重要参数。电流IG是流经栅极氧化层的电流,该电流由载流子隧道效应产生。

栅极漏电流包括栅极到沟道、栅极到源极或漏极的交叠区域及栅极到衬底的电流组成。 该电流与氧化层厚度和电源电压成指数关系。
漏电流的另一个组成部分是反向结电流IR,当PN结反向偏置时,电路流经带间隧穿(BTBT) 节点。电流IR与栅极或者源极耗尽区的面积大小相关。IR也与结电场及结的掺杂浓度有关。 由于栅极和源极与衬底有关,因此两极的势能越高,越会导致更大的带间隧穿。尽管在高温下(~150℃),漏电流的组成部分具有温度依赖性,但是在低温下,它的温度敏感性很低。
理想情况下,在超阈值运行机制下,当晶体管关断时,我们可以将流经晶体管的电流最小化。 因此,采用一系列的设计或工艺技术,来减少所有的漏电流组成部分。然而,在有些情况下, 漏电流对亚阈值集成电路的工作状态是至关重要的。这些情况指的是低功耗或者低性能的应用,这些应用的电源电压低于阈值电压,并且通常在亚阈值机制下运行。
上一篇:音箱调试注意事项
下一篇:低功耗蓝牙和UWB的对比