- ET7428 1Ω Dual SPDT Negative Signal Handing Analog Switch
- ET7222 High-Speed USB 2.0(480Mbps) Switch
- ET5228H 0.6Ω Dual SPDT Negative Signal Handing Analog Switch
- ET5223 0.5Ω Dual SPDT Analog Switch
- HTR6916 共阴极16x9阵列LED 驱动器
- HTR7198(S), HTR7144(S) 带自动呼吸功能的18x
- PL62010 集成升降压控制器及双向PD3.0等多种快
- RY6050-ADJ Series 500mA Adjustable High-Speed Low Power LDO
- RY6050 Series 500mA High PSRR, Low Noise, Low Power LDO
- RY6313 40V 150mA Low Power LDO
- RY6031 300mA High PSRR, Low Noise, Low Power LDO
- RY8337C 36V 3A 500KHz Synchronous Step-Down Regulator
- RY8337B 30V 3A 500KHz Synchronous Step-Down Regulator
- RY8337 38V 3.3A 500KHz Synchronous Step-Down Regulator
如何通过优化谐振电感提升LLC部分的效率?
优化LLC谐振变换器中的谐振电感是提升效率的重要手段之一。谐振电感的优化涉及多个方面,包括电感值的选择、材料的选择、绕组方式以及整体电路参数的配合。
1. 谐振电感值的选择
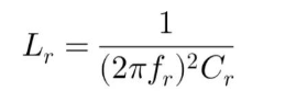
确定最佳谐振频率:根据变换器的工作要求,选择适当的谐振频率。通常,谐振频率越高,变换器的效率越高,但过高的频率会增加开关损耗。根据谐振频率和谐振电容值计算谐振电感值,公式如下:

其中 Lr 是谐振电感,fr 是谐振频率,Cr 是谐振电容。
2. 材料选择
在选择LLC谐振变换器的谐振电感材料时,应全面考虑材料的各项特性以实现高效、稳定的电路性能。优先选择高频低损耗的磁性材料,如铁氧体(Ferrite)和纳米晶(Nanocrystalline)材料,这些材料在高频应用中表现出较低的磁芯损耗和较高的磁导率,能够有效减少磁芯损耗并提升变换器的效率。高饱和磁通密度材料可减少磁芯尺寸,避免在高功率密度下发生磁芯饱和,保证谐振电感的正常工作。
选择磁导率高的材料可减少所需绕组匝数,从而降低绕组电阻和铜损。温度特性稳定的材料在不同工作温度下的性能变化较小,确保电感的可靠性和效率,铁氧体材料在这方面尤为出色,而纳米晶材料在高温应用中也表现优越。低磁芯损耗是高频电感效率的关键,铁氧体和纳米晶材料具有较低的损耗特性。选择合适的磁芯尺寸和形状,如EE型、PQ型和UI型,不仅能提高电感的效率,还能优化绕组和散热设计。较小的磁芯尺寸有助于降低体积和成本,而合适的形状能优化磁场分布,减少漏磁。此外,选用高质量制造工艺的材料供应商能确保材料的一致性和质量,减少电感的批次间差异,从而提高变换器的一致性和可靠性。
3. 绕组方式
减少绕组损耗:采用多股绞合线(Litz线)可以减少高频皮肤效应和邻近效应造成的绕组损耗。
优化绕组排布:合理设计绕组的排布方式,减少漏感和寄生电容,优化磁场分布。
4. 热管理
谐振电感在工作过程中会发热,温度升高会导致电感性能下降,从而降低效率。
如何降低谐振电感的温升?
优化电感的物理结构,采用适当的磁芯形状(如EE型、PQ型)和减少磁芯间隙,可以提高磁场分布的均匀性,降低磁芯损耗。通过合理设计散热系统,增加散热片、优化空气流动或使用导热材料,可以有效地将电感工作过程中产生的热量迅速散发出去,防止温度过高。
选择高温稳定性的材料也很重要,这些材料在高温下性能稳定,可以减少温升对电感特性的影响。还可以通过减少寄生参数(如寄生电容和漏感),优化电路设计,以降低损耗和热量生成。采用高效的电源管理和控制策略,如动态调整工作频率和优化开关控制,减少电感在不同工作状态下的损耗和发热。
通过以上多方面的优化,可以显著提升LLC谐振变换器的效率。优化谐振电感不仅需要理论计算,还需要结合实际的实验和仿真,通过不断的调整和验证,找到最优的设计方案。这样才能在实际应用中实现高效、可靠的LLC谐振变换器。
上一篇:为什么要在开关电源的输出端串接一个电感?
下一篇:环路稳定的三条准则