- ET7428 1Ω Dual SPDT Negative Signal Handing Analog Switch
- ET7222 High-Speed USB 2.0(480Mbps) Switch
- ET5228H 0.6Ω Dual SPDT Negative Signal Handing Analog Switch
- ET5223 0.5Ω Dual SPDT Analog Switch
- HTR6916 共阴极16x9阵列LED 驱动器
- HTR7198(S), HTR7144(S) 带自动呼吸功能的18x
- PL62010 集成升降压控制器及双向PD3.0等多种快
- RY6050-ADJ Series 500mA Adjustable High-Speed Low Power LDO
- RY6050 Series 500mA High PSRR, Low Noise, Low Power LDO
- RY6313 40V 150mA Low Power LDO
- RY6031 300mA High PSRR, Low Noise, Low Power LDO
- RY8337C 36V 3A 500KHz Synchronous Step-Down Regulator
- RY8337B 30V 3A 500KHz Synchronous Step-Down Regulator
- RY8337 38V 3.3A 500KHz Synchronous Step-Down Regulator
(噪声、振动与声振粗糙度)NVH基础知识解释
一、噪声
狭义噪声:振幅和频率杂乱、断续,或统计上无规律的声音都可以称为噪声。比如工地的施工机械声音,电钻钻墙的声音。
广义噪声:凡是不悦耳的,人们所讨厌的给人以烦恼感觉的,或有害于身心健康的声音都属于噪声。
噪声的本质还是声音,具有声音的一切物理特性
不稳定的,间歇的噪声比恒定物理强度的稳定噪声具有更强的刺激性
二、声学基础概念
声源:一个向周围媒质辐射声波的振动系统叫“声源” ,固体,液体,气体都可以发声,都可以当作声源。典型理想点声源:脉动球,振动球。
声波:振动在媒质中的传播过程就称为声波。声波的存在有两个基本条件:声源和能够传播振动的介质。
声波的范围十分广泛,人耳能够听到的范围是20~20000Hz,称为音频声,频率高于20000Hz的称为超声,频率低于20Hz的称为次声
声波的属性:声波能在固体,液体和气体中传播,在固体中可以是纵波,也可以是横波。但在液体和气体中只能以纵波传播。
声速,声波在不同介质中的频率保持不变,但波长有所变化,所以声速也有所变化.
水,空气,铜,钢,玻璃,硬橡胶中的声速排序?

声波的干涉:声波的干涉是指在同一区域中,两列频率相同的持续声波相遇而迭加的现象,它只能在特定的条件下发生,相互间能发生干涉的声波称为相干波。
声波的衍射:当声波在传播过程中,碰到与声波波长差不多的障碍物,声波就能绕过障碍物传到它的背后去,即发生衍射现象。(详细内容可阅读惠更斯原理 )
声波的反射和折射:声波一般沿直线传播,遇到障碍物会发生发射,如天坛的回音壁。声波在传播过程中,遇到介质发生变化时,传播方向会变化,就发生折射。
声场:介质中声波所及的区域称为声场。
自由场:全消声室
半自由场:硬地面场,半消声室
混响场:普通房间
在声场中,各体积元的压强以及密度都是时间和空间的函数
声压:声波在介质中传播时,使介质时而密集,时而稀疏,形成一种压力波。设介质处于平衡状态时,各处的压力为 ,当声波传来时,该处的压强变为 ,其变化量为 P
P就是声压,声压又可以表示为;


表示该点的瞬时声压
有效声压:人耳鉴别不出瞬时声压的变化,只能感受到一个稳定的有效声压。有效声压是一个变化周期哪瞬时声压的均方根值。

有效声压就简称为声压,声压的大小反映了声波的强弱。
声压计量单位:声压的可听范围有100万倍的变化,为描述方便,定义了声压级来表示声压的大小。

听阈声压级 0分贝,痛阈声压级120分贝

声功率级:声波实际传播过程就是声振动能量的传播过程。声功率就是单位时间内声源向外辐射出的全部能量。

声功率级的单位是分贝,声功率是标量,反映的是声源振动辐射能量的大小,是一个表示声源特性的参数。

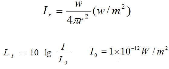
声强:声强,垂直于声传播方向上的单位时间内单位面积上通过的声能量。
声功率是一个标量,反映了声源振动辐射的能量大小。而声强是一个矢量。它不仅反映了声能量的大小,而且还反映了声能量的方向。声强矢量的方向就是声传播的方向。
如自由声场中的点声源,其声功率为W,则其声强可以表示为:

听阈的声强级为0,通常在谈话时的声强级为60~70dB 。
响度:以1000Hz纯音的声压级作为基准音,调节不同频率的声音使其与基准音等响,则该声音的声压级即为响度级。如某噪声听起来(主观声响感觉)与声压级为85dB的基准音同样响,则该噪声的响度级就是85方。响度级既反映了声音的物理量度,也反映了人耳听觉的生理效应。所以,响度级有很大的实际意义。

人耳对低频声灵敏度差,对1000—6000Hz的声音最敏感,随着声压级的增高,这一差别逐渐缩小。
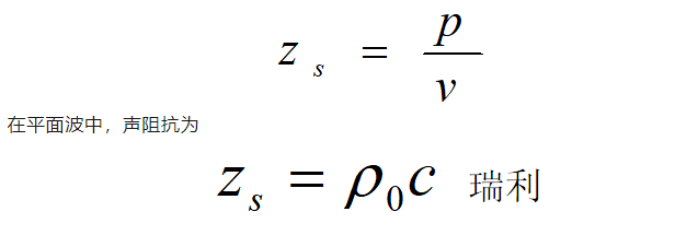
声阻抗:声场中某位置的声压与该点的质点速度的比值为该位置的声阻抗率。声阻抗可以看作是媒质的阻抗特性。
